در مقاله “درایو چیست” به بررسی کامل درایو یا همان اینورترهای فرکانس متغیر پرداختیم. در این مقاله قصد داریم تا به بخش هایی از درایو بپردازیم که توجه زیادی به آن نمی شود و سبب ایجاد مشکلاتی همچون سوت کشیدن الکتروموتور، داغ کردن igbt، داغ کردن درایو و سوختن igbtها. میشود. در این مقاله ابتدا به معرفی مفاهیم پایه پرداخته و سپس مشکلات و راه حل های آن ها بیان میشود.
فرکانس کلیدزنی درایو
فرکانس کلید زنی درایو در اصل میزان روشن و خاموش شدن ولتاژ باس DC در طول فرآیند مدولاسیون عرض پالس (PWM) است که این کلیدزنی توسط ترانزیستورهای دوقطبی گیت عایق (IGBT) انجام می شود.
به کمک مدولاسیون پهنای پالس میتوانیم فرکانس و ولتاژ اعمالی بهر الکتروموتور القایی را کنترل کنیم و الکتروموتور با سرعت متغیر داشته باشیم. فرکانس کلیدزنی گاهی فرکانس کریر نیز نامیده میشود که معمولا با واحد کیلو هرتز بیان می گردد و عددی بین 4 تا 1600 کیلوهرتز در نظر گرفته میشود. برای تعیین فرکانس کریر مناسب برای درایو باید با مزایا و معایب فرکانس کریر آشنا باشیم. بنابراین در ادامه به بررسی اثرات فرکانس کریر بر سیستم درایو و الکتروموتور خواهیم پرداخت. به عبارت بهتر فرکانس کریر همان فرکانس شکل موج دندان اره ای است که با شکل موج سینوسی رفرنس در مدولاسیون پهنای پالس مقایسه میگردد.
اثر فرکانس کریر بر اعوجاج جریان و THD جریان
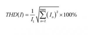
به طور خلاصه با افزایش فرکانس کلیدزنی و فرکانس کریر، THD و اعوجاج جریان کاهش خواهد یافت. با کاهش ریپل جریان و شکل موج جریان تمیزتر، الکتروموتور که به عنوان بار درایو در نظر گرفته میشود، تلفات کمتری خواهد داشت. برای درک بهتر این موضوع یک پروژه صنعتی را مثال میزنیم. در این پروژه از درایو امترون بدون فیلتر هارمونیک پسیو Revcon یا فیلتر هارمونیک اکتیو Revcon استفاده نشده است. در سمت خروجی نیز فیلتر سینوسی الکترا یا چوک فیلتر du/dt الکترا استفاده نشده است. بنابراین هارمونیک سمت موتور فقط توسط فرکانس کلیدزنی درایو امترون کنترل شده است. شکل 1 نشان دهنده شکل موج جریان اینورتر به رنگ سبز و شکل موج PWM خروجی درایو به رنگ قرمز در فرکانس کلیدزنی 4 کیلو هرتز است. با توجه به رابطه زیر میتوان مقدار THD جریان را محاسبه و میزان رضایت بخشی هارمونیک جریان را بررسی کرد.

که در این رابطه I1 جریان فرکانس اصلی، In جریان های هارمونیکی است که تا معمولا تا هارمونیک 50ام بررسی میگردد. در حالت اول با فرکانس کلیدزنی 4 کیلو هرتز میزان THD جریان حدود 12.69% است. تحت شرایط بار و نقطه کار یکسان و تنها با دو برابر کردن فرکانس کریر و افزایش آن به مقدار 8 کیلو هرتز شکل موج جریان و PWM خروجی درایو در شکل 2 حاصل میشود. که هارمونیک جریان حدود 6.27% است.


با کاهش هارمونیک در سمت موتور، گرمایش موتور کمتر شده و به دنبال آن راندمان افزایش خواهد یافت. همچنین گرمای بیش از حد روتور میتواند باعث انبساط آن و برخورد روتور با یاتاقان ها شود که امری نامطلوب است. از طرفی باید در نظر داشت با افزایش فرکانس کلیدزنی، تلفات کلیدزنی IGBTها افزایش خواهد یافت و سبب داغ کردن کلیدها خواهد شد. بنابراین باید مصالحه ای بین خروجی سینوسی و تلفات کلیدزنی انجام شود تا افزایش راندمان موتور باعث کاهش راندمان درایو نشود. علاوه بر تنظیم فرکانس کلیدزنی روش هایی مانند کلیدزنی نرم در ولتاژ صفر و کلیدزنی تحت جریان صفر میتواند باعث کاهش تلفات کلیدزنی شود که در این مقاله به بررسی آن ها نخواهیم پرداخت.
تنظیم فرکانس کلیدزنی
در برخی موارد ممکن است با اتصال الکتروموتور به درایو صداهایی ناهنجار مانند سوت زدن از موتور بشنوید و این امر شما را نگران کند که سیستم به درستی عمل نمیکند. یکی از دلایل این موضوع می تواند فرکانس کلیدزنی پایین باشد. به عبارتی فرکانس کلیدزنی بالاتر صدای شنیداری که از موتور شنیده میشود را کاهش می دهد. این صدا ناشی از ارتعاش لایه های استاتور در فرکانس کلیدزنی است. با افزایش فرکانس کلیدزنی میتوان این ارتعاش ها را از محدوده شنوایی انسان خارج کرد و صدای آزار دهنده را از بین برد. سطح نویز الکتروموتور با توجه به کاربردی که در آن استفاده می شود، تعیین میشود. در برخی موارد درایو در محیطی قرار داده میشود که ایزوله است و صدای کلیدزنی آزار دهنده نیست، همچنین تلفات کمتر مد نظر است و شکل موج خروجی به کمک فیلتر هارمونیک سینوسی و فیلتر هارمونیک du/dt بهبود داده میشود و همچنین شکل موج ورودی به کمک فیلتر هارمونیک پسیو Revcon و فیلتر هارمونیک اکتیو Revcon تنظیم میگردد، نیازی به افزایش فرکانس کلیدزنی نخواهد بود. با افزایش فرکانس کلیدزنی، گرمایش موتور به دلیل محتوای هارمونیک بالاتر در شکل موج جریان کاهش می یابد. در همان زمان، گرمای تولید شده داخلی در اینورتر به دلیل کلیدزنی سریع IGBT افزایش می یابد. هر عمل کلیدزنی IGBT مقدار نسبتاً ثابتی از دست دادن گرما را به همراه دارد. بنابراین با افزایش فرکانس کریر، اتلاف حرارت کلی اینورتر نیز افزایش مییابد. هیت سینک درایو باید به گونه ای طراحی شود که عملیات خنک سازی کلید IGBT به خوبی انجام شود. فرکانس کلیدزنی مطلوب معمولا حدود 5 الی 10 کیلو هرتز در نظر گرفته میشود.
نتیجه گیری
در این مقاله به بررسی فرکانس کریر یا همان حامل پرداختیم که در برخی موارد با عنوان فرکانس کلیدزنی نیز شناخته میشود. از اهمیت آن بر میزان هارمونیک موتور و افزایش راندمان صحبت کردیم و متوجه شدیم که علاوه بر تنظیم فرکانس کلیدزنی تهیه فیلتر هارمونیک مناسب میتواند باعث افزایش راندمان سیستم و بهبود عملکرد الکتروموتور شود. شرکت روکون (Revcon) با بیش از دو دهه سابقه در زمینه مهندسی و طراحی ادوات الکترونیک قدرت فعالیت دارد. تجربه بالا، تکنولوژی ساخت، قیمت مناسب و توجه به نیاز صنعت از ویژگی هایی است که این شرکت را از رقبا متمایز می سازد. فیلتر های هارمونیک ورودی Revcon یکی از تجهیزات تخصصی و پرکاربرد در صنایع مختلف اعم از نفت و گاز، پتروشیمی و سیمان و … جهت جبران سازی اثرات سویچینگ و هارمونیک تولیدی درایو ها بر روی شبکه برق می باشد.
فیلتر هارمونیک Revcon دارای سیستم متمایز و چند سطحی است که این تکنولوژی به صورت فیلتر هارمونیک اکتیو Revcon و فیلتر هارمونیک پسیو Revcon عرضه میشود که باعث شده است تا با هزینه کمتر شکل موج ولتاژ و جریان بهتر و با اعوجاج کمتری در شبکه داشته باشید.
علاوه بر فیلتر هارمونیک Revcon که در سمت ورودی نصب می شود، فیلتر هارمونیک خروجی شامل فیلتر هارمونیک سینوسی الکترا و فیلتر هارمونیک du/dt یا همان فیلتر هارمونیک چوک الکترا نیز جهت بهبود اعوجاج هارمونیکی THD سمت خروجی استفاده میشود. شرکت بنیان صنعت تدبیر یکتا نماینده امترون در ایران تامین کننده انواع تجهیزات هیدرولیک شامل جکها، سیلندرهای هیدرولیکی با ظرفیت و اندازه های مختلف، شیر، پمپ و واحدهای کنترلی هیدرولیکی، پمپ و موتورهای هیدرولیک فشار بالا، سیستم های کنترل هیدرولیک پیچیده،ولو و محصولات خاص هیدرولیک از برندهای معتبر دنیا مانند Enerpac و بوش – Bosch Rexroth میباشد. علاوه بر این میتوانید برای دریافت مشاوره تخصصی جهت تامین تجهیزات وگ و همچنین سایر تجهیزات صنعتی شامل بخش الکتریکی فیلترهای هارمونیک، درایو امترون، سافت استارتر موکوتک و سافت استارتر امترون،الکتروموتور زیمنس، الکتروموتور وگ، درایوهای ریجنریتیو و درایو ولتاژ متوسط (MV)، انواع سنسورها و ابزار دقیق و تجهیزات مکانیکی و هیدرولیکی شامل گیربکس فلندر،کوپلینگ Voith، کوپلینگ Rossi و … با متخصصین شرکت بنیان صنعت تدبیر یکتا ارتباط بگیرید.
