برای پاسخ به این سوال نیازمند بررسی دقیق سیستم کارکرد درایو و سافت استار هستیم. علاوه بر تفاوت های فنی که این دو دستگاه دارند، قیمت و فضایی که اشغال می کنند نیز در انتخاب آن ها دخیل است. اگر در انتخاب این ادوات اشتباه کنید، علاوه بر ضرر مالی ممکن است به هدفی که برای پروسه صنعتی خود دارید، نرسید و سیستم شما دچار مشکل و خطا شود. در این مقاله به بررسی درایو و سافت استارترها پرداخته ایم.
سافت استارتر چیست و چه کاربردهایی دارد؟

سافت استارتر دستگاهی هست که به جای اعمال ولتاژ نامی به موتور، ولتاژ را به صورت پله پله افزایش میدهد تا راه اندازی موتور به صورت نرم اتفاق بیفتد. همچنین در زمان استپ نیز به جای قطع ناگهانی ولتاژ، با کاهش پله ای ولتاژ اعمالی به موتور باعث استپ نرم میشود. پس مهم ترین کاربرد سافت استارتر ها استارت و استپ نرم میباشد. این عمل باعث افزایش طول عمر موتور، کاهش حرارت ناشی از استارت و استپ موتور، کاهش استرس مکانیکی روی شفت و افزایش طول عمر عایقی کابل ها و موتور میشود.
نحوه عملکرد سافت استارتر
همانطور که پیش از این اشاره شد، سافت استارتر ها با افزایش و کاهش پله ای ولتاژ، استارت و استپ نرم را انجام میدهند. این عمل به کمک ادوات الکترونیک قدرت به نام تریستور انجام می پذیرد. نکته مهم و قابل توجه این است که با کاهش ولتاژ گشتاور یا اصطلاحا زور موتور کاهش میابد و ممکن است موتور به هنگام راه اندازی زیر بار بماند!
سافت استارتر های امترون با در نظر گرفتن این نکته و افزودن سیستم کنترل گشتاور به نام Torque Control به سافت استارتر تا حدی این مشکل را حل کرده اند تا مشکل زیر بار ماندن موتور تا حدی حل شود.

به همین ترتیب در هنگام استپ نیز به کمک قابلیت استپ نرم میتوان از ضربه های مکانیکی ناگهانی به موتور جلوگیری کرد.

سافت استارتر های امترون به دو دسته کلی تقسیم می شوند. سافت استارتر TSA امترون و سافت استارتر MSF امترون که در هر مدل با توجه به نیاز کاربر تغییراتی اعمال شده است. هر دو سافت استارتر با ورودی 3 فاز کار میکنند و مجهز به روش کنترل گشتاور میباشند. در سیستم هر سافت استارتر، در هر فاز یک جفت تریستور قرار داده شده است و با توجه به معادلات ریاضی بین ولتاژ، جریان و گشتاور موتور کاهش 50 درصدی ولتاژ باعث کاهش 50 درصدی جریان میشود که برای ما مطلوب است اما از طرفی باعث کاهش 75 درصدی گشتاور نیز خواهد شد که این موضوع در هنگام تنظیم سافت استارتر باید در نظر گرفته شود. به همین دلیل توصیه میشود جهت نصب و راه اندازی سافت استارتر ها از افراد متخصص کمک بگیرید.

خوشبختانه شرکت امترون در بخش خدمات پس از فروش قوی عمل کرده و نمایندگان رسمی امترون در کشور هایی که با این شرکت قرار دارند، نیرو های متخصص را آموزش میدهند تا بتوانند سیستم کارفرما را به خوبی پیاده سازی و راه اندازی کنند. شرکت بنیان صنعت تدبیر یکتا نماینده رسمی امترون در ایران میباشد و تیم خدمات فنی پس از فروش این شرکت به طور فعال در سراسر ایران مشغول خدمات رسانی به مشتریان شرکت امترون میباشند.
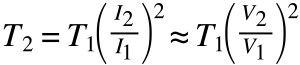
مدل ریاضی کارکرد سافت استارتر
مدل ریاضی که جهت تنظیم سافت استارتر استفاده میشود به شرح زیر است:

متغیر های این معادله به شرح زیر می باشد:
- T2: مقدار گشتاور در ولتاژ یا جریان مورد نظر
- T1: گشتاور در حالت روتور قفل
- I2: جریان کاهش یافته
- I1: جریان روتور قفل
- V2: ولتاژ کاهش یافته
- V1: ولتاژ نامی
نکته قابل توجه در مورد سافت استارتر های MSF امترون این است که این سافت استارتر ها پس از راه اندازی نیز قابلیت کنترل ولتاژ موتور را دارند و دارای بای پس داخلی نمیباشند. اما سافت استارتر های مدل TSA تنها در زمان استارت و استپ در مدار میباشند و تریستور های آن پس از گذشت زمان استارت و استپ و رسیدن به سرعت نامی به کمک بای پس داخلی از مدار خارج میشوند.
از دیگر قابلیت های سافت استارتر های امترون، قابلیت مانیتورینگ بار است. این تکنولوژی “Load Monitor” نام دارد و با بررسی گشتاور بار و گشتاور اعمالی موتور از طریق مدلسازی سیستم را به صورت خطی و نرم کنترل میکند. هر گونه تغییر ناگهانی در منحنی گشتاور بار باعث ارسال آلارم و در صورت ادامه دار بودن این موضوع منجر به ارسال فرمان خاموشی موتور توسط سافت استارتر میگردد.
سافت استارتر در صنعت
به طور کلی هر پروسه صنعتی که نیازمند استارت و استپ نرم موتور باشد، نیازمند سافت استارتر میباشد. از کاربردهای سافت استارتر در صنعت میتوان به موارد زیر اشاره کرد:
سافت استارتر برای پمپ
سیستم های پمپاژ همیشه در خطر ضربه قوچ و آسیب های مکانیکی ناشی از ضربه های ناگهانی موتور هنگام استارت و استپ میباشند. استفاده از سافت استارتر در این سیستم های باعث میشود تا این موضوع به خوبی کنترل و برطرف شود. همچنین سافت استارتر های امترون با بررسی گشتاور و سیستم مانیتورینگ پیشرفته میتوانند پدیده هایی مانند Cavitation یا خشک کار کردن پمپ را کنترل کنند.
سافت استارتر برای نوار نقاله
راه اندازی کانوایر ها به صورت مستقیم نیز باعث آسیب های مکانیکی شدید به بلت کانوایر میشود و ممکن است باعث به هم ریختن تنظیمات بلت کانوایر شود. استفاده از سافت استارتر در این مورد میتواند باعث شود تا زمان کارکرد سیستم افزایش یابد و از هزینه های ناخواسته تعمیرات جلوگیری شود. همچنین با کنترل پیشرفته سافت استارتر های امترون میتوان از صحت محل قرارگیری بلت کانوایر اطمینان حاصل کرد و از صدمات مکانیکی جلوگیری کرد.
سافت استارتر برای فن ها و دمنده ها
راه اندازی نرم فن ها و دمنده ها نیز از آسیب های مکانیکی به این سیستم ها جلوگیری خواهد کرد.
سافت استارتر برای کمپرسورها
سیستم کنترل گشتاور امترون یک آپشن ایده آل برای راه اندازی کمپرسور های میباشد. همچنین به کمک این سیستم میتوان از راه اندازی کمپرسور در جهت اشتباه جلوگیری کرد همچنین میتوان زمان بی باری کمپرسور را تشخیص داد و به کمک آن هزینه های انرژی را کاهش داد!
سافت استارتر برای خردکن ها و میکسرها
برخی خردکن ها و میکسر ها نیازمند ترمز های کوتاه میباشند که به کمک ترمز برداری و یا ترمز جریان معکوس برای بار های با اینرسی بالا که در برخی سافت استارتر ها مثل سافت استارتر امترون تعبیه شده است، قابل دستیابی است.
چرا سافت استارتر امترون؟
همانطور که گفتیم نیاز صنعت به سافت استارتر روز به روز در حال افزایش است. سافت استارتر های امترون با تکنولوژی پیشرفته خود امکان بهره برداری به بهترین شکل ممکن از سیستم را ممکن میسازند. علاوه بر تمامی آپشن های سافت استارتر های معمولی مثل استارت و استپ نرم، 2 جفت تریستور در هر فاز قرار دارد که در برخی محصولات مشابه یک فاز را بدون جفت تریستور راه اندازی میکنند که میتواند از لحاظ ایمنی بسیار خطرناک باشد. شاید بتوان گفت جذاب ترین قابلیت های این سافت استارتر ها، تکنولوژی مبتنی بر کنترل گشتاور و همچنین سیستم کنترل گشتاور بار میباشد که به کمک آن میتوان علاوه بر نظارت به خود سافت استارتر به تمامی بار متصل به سافت استارتر نیز نظارت کرد و عواملی مانند خشک کار کردن پمپ، قفل شدن پمپ به علت بسته شدن مسیر و خرابی بلت ها را تشخیص داد. همچنین مصرف انرژی را کاهش میدهد و باعث افزایش طول عمر تجهیزات مهم مثل موتور ها میشود.
درایو چیست و چه کاربردهایی دارد؟

در مقاله ای با نام درایو چیست؟ به طور کامل و با جزئیات به این موضوع پرداخته ایم اما اگر بخواهیم به طور خلاصه به این سوال پاسخ بدهیم میتوان گفت درایو یا همان اینورتر فرکانسی دستگاهی است که وظیفه اصلی آن کنترل دور موتور و در ادامه حفاظت موتور میباشد. تفاوت اصلی درایو و سافت استارتر که در بخش اول این مقاله معرفی شد همین کنترل میباشد. درایو قابلیت کنترل دور موتور در بازه راه اندازی و استپ و همچنین در تمام طول پروسه کارکرد موتور را دارد.
درایو چگونه کار میکند؟
درایو برق AC را به عنوان ورودی دریافت کرده و با اعمال سیگنال های کنترلی مناسب در خروجی AC با فرکانس و دامنه قابل تنظیم تولید میکند. در واقع درایو را میتوان به صورت یک جعبه در نظر گرفت که ورودی AC گرفته و خروجی AC مورد نظر را در اختیار کاربر قرار میدهد. این عمل به کمک سیگنال های اعمالی به سوئیچ های الکترونیک قدرت آن صورت میپذیرد. درایو میتواند دور موتور های القایی و همچنین مغناطیس دائم سنکرون را کنترل کند. سرعت موتور از رابطه N = 120f / p محاسبه میگردد که در آن N سرعت میدان سنکرون(این سرعت نسبت به سرعت واقعی موتور به میزان لغزش بیشتر میباشد.)، f فرکانس نامی موتور و p تعداد قطب های موتور میباشد.

اصول کارکرد درایو
ابتدا ولتاژ AC یکسو شده و به ولتاژ DC تبدیل میشود و در ادامه به کمک سوئیچینگ این ولتاژ به صورت پالس های مربعی مثبت و منفی در خروجی ظاهر میشود که به کمک روابط ریاضی سری فوریه دارای مولفه سینوسی خواهد بود. نکته حائز اهمیت در این بحث وجود هارمونیک ها در ولتاژ خروجی است که نیازمند فیلتر های مناسب جهت ساخت ولتاژ سینوسی خالص هستند تا از آسیب به موتور به علت هارمونیک های مخرب جلوگیری شود. فرکانس ولتاژ خروجی به کمک کنترل سوئیچ های الکترونیک قدرت قابل تنظیم است. همچنین میتوان دامنه این ولتاژ را به روش کنترلی مختلف تنظیم کرد. به طور خلاصه اصول کارکرد درایو تبدیل ولتاژ AC به DC و تبدیل ولتاژ DC به ولتاژ AC با فرکانس و دامنه قابل تنظیم است.

نحوه تبدیل ولتاژ AC به DC
به منطور تبدیل ولتاژ DC ( از به بعد این بخش را لینک دی سی مینامیم) به ولتاژ AC مورد نظر از 6 سوئیچ که هر جفت سوئیچ به صورت سری در یک فاز بسته شده اند استفاده میکنیم. این سوئیچ ها به طور معمول IGBT میباشند و به کمک فرمان دادن به آن ها ولتاژ با دامنه و فرکانس مورد نظر ساخته میشود. از دیگر ادوات الکترونیک قدرت که میتوان به عنوان سوئیچ استفاده کرد، میتوان به تریستورها، ترانزیستور های BJT قدرت و ماسفت ها اشاره کرد.



الگوریتم کنترل درایو
الگوریتم ها و روش های مختلفی برای کنترل درایو وجود دارد. در این مقاله به بررسی روش های کنترلی درایو های امترون می پردازیم. درایو های امترون به دسته های مختلفی تقسیم میشود که میتوان به VSX، VFX و FDU اشاره کرد. به عنوان مثال درایو های FDU از روش V/F ثابت با مدولاسیون پهنای پالس استفاده میکنند. استفاده از این روش برای بار هایی با گشتاور متغیر مثل پمپ ها و فن ها مناسب است.
درایو VFX امترون از الگوریتم Torque Control استفاده میکند که دارای بالاترین دقت در رنج سرعت های مختلف است. سرعت پاسخ درایو VFX حدود 25 میکروثانیه است که این سرعت پاسخگویی بالا باعث میشود تا برای اپلیکیشن هایی که نیازمند گشتاور ثابت هستند مثل بالابرها، خردکن ها و نوار های نقاله مناسب باشد.
تمامی درایوهای امترون به تکنولوژی Load Shaft Monitor یا کنترل بار شفت مجهز می باشند و می توانند با مانیتورینگ و بررسی دقیق بار روی شفت را بررسی و در صورت مشاهده تغییرات غیر معمول ابتدا هشدار داده و سپس در صورت ادامه این تغییرات موتور را از خطرات احتمالی حفاظت کنند. نکته جالب این تکنولوژی این است که میتواند بر اساس گشتاور بار ثابت و متغیر تنظیم شود و خودش را با سیستم به طور دقیق تطبیق دهد.


کاربرد های درایو در صنعت
شاید این سوال برایتان پیش بیاید که در چه اپلیکیشن هایی از درایو استفاده میشود. میتوان گفت هر پروسه ای که نیازمند کنترل دور موتور میباشد، نیازمند درایو است. در ادامه به برخی از اپلیکیشن های معمول که نیازمند درایو هستند اشاره شده است.
درایو برای پمپ ها و کمپرسورها
پمپ ها و کمپرسور ها به طور معمول نیازمند اعمال فشار یا فلو متغیر در پروسه هستند. در گذشته ابتدا موتور این پروسه ها را با سرعت نامی راه اندازی می کردند و در ادامه به کمک ولو ها فشار و فلو را کنترل میکردند. افزودن درایو به این سیستم ها علاوه بر ذخیره انرژی و پول، از آسیب های مکانیکی به پمپ مانند ضربه قوچ و … جلوگیری میکند. درایو میتواند به آرامی و با شیب خوبی سرعت موتور را کاهش و افزایش دهد تا پروسه به فلو یا فشار مورد نظر برسد. همچنین درایو های امترون با بررسی گشتاور و سیستم مانیتورینگ پیشرفته میتوانند پدیده هایی مانند Cavitation یا خشک کار کردن پمپ را کنترل کنند.
درایو برای فن ها و دمنده ها
راه اندازی نرم فن ها و دمنده ها نیز از آسیب های مکانیکی به این سیستم ها جلوگیری خواهد کرد. همچنین سیستم کنترل بار درایو امترون میتواند از آسیب های ناخواسته به فن جلوگیری کند.
درایو برای جرثقیل، بالابر و نوار نقاله ها
علاوه بر راه اندازی نرم و قابلیت راه اندازی زیر بار (یا بار های سنگین)، قابلیت جلوگیری از خطرات هنگام ترمز جرثقیل ها و بالابر ها به سیستم اضافه میشود. درایو امترون با قابلیت های هوشمند میتواند پروسه راه اندازی و ترمز را به خوبی کنترل کند. همچنین درایو های خاص AFE امترون می توانند انرژی که در هنگام ترمز تلف میشود را به سیستم بازگردانند و مقدار زیادی از هزینه صرف شده برای پروسه را در طول زمان کاهش دهند. سرعت ترمز بالا و همچنین ترمز نرم از دیگر قابلیت های درایو امترون است.
چرا درایو امترون
در مرحله اول میتوان گفت تکنولوژی خاص این درایو ها باعث میشود تا مقدار زیادی از انرژی مصرفی سیستم کاهش یابد و این امر باعث کاهش هزینه ها میگردد. از دیگر مزایای درایو امترون میتوان به افزایش طول عمر دستگاه ها و کابل ها اشاره کرد.
درایو VFX امترون با قابلیت کنترل مستقیم گشتاور، سرعت پاسخ خوبی به پیک بار دارد و میتواند با گشتاور بالایی موتور را استارت کند که این امر باعث میشود تا اپلیکیشن هایی که قرار است زیر بار سنگین استارت شوند دچار مشکل نشوند و پروسه آن ها بدون اختلال و به خوبی اجرا شود.
درایو AFE امترون به عنوان یک تکنولوژی و درایو هوشمند قابلیت کاهش قابل توجه هارمونیک های تولیدی درایو میباشد و به علت قابلیت عبور توان در دو جهت میتواند در اپلیکیشن هایی که نیازمند استفاده از قابلیت ترمزی موتور هستند بسیار مناسب باشد زیرا هزینه کارفرما را به مقدار زیادی کاهش میدهد.
درایو FDU امترون مناسب اپلیکیشن هایی با گشتاور متغیر مانند پمپ ها و فن ها میباشد.
تمامی درایو های امترون دارای سیستم کنترل گشتاور بار میباشد که به کمک آن میتوان علاوه بر نظارت به خود درایو به تمامی بار متصل به درایو نیز نظارت کرد و عواملی مانند خشک کار کردن پمپ، قفل شدن پمپ به علت بسته شدن مسیر و خرابی بلت ها را تشخیص داد.
نتیجه گیری
شرکت بنیان صنعت تدبیر یکتا نماینده رسمی امترون در ایران به کمک تیم فروش قوی خود میتواند با توجه به نیاز پروسه صنعتی کارفرما، مناسب ترین مدل سافت استارتر را معرفی کند و علاوه بر آن به کمک کادر مجرب خدمات پس از فروش خود، نصب و راه اندازی سافت استارتر ها را به صورت کاملا تخصصی انجام دهد.
نکته قابل توجه این است که تنظیم کردن درایو برای اپلیکیشن های مختلف نیازمند تجربه و آشنایی با اصول کارکرد درایو و همچنین شناخت پروسه میباشد. پیشنهاد میشود تنظیمات و نصب و راه اندازی درایو توسط افراد متخصص انجام شود. خوشبختانه شرکت امترون در بخش خدمات پس از فروش قوی عمل کرده و نمایندگان رسمی امترون در کشور هایی که با این شرکت قرار دارند، نیرو های متخصص را آموزش میدهند تا بتوانند سیستم کارفرما را به خوبی پیاده سازی و راه اندازی کنند. شرکت بنیان صنعت تدبیر یکتا نماینده رسمی امترون در ایران میباشد و تیم خدمات فنی پس از فروش این شرکت به طور فعال در سراسر ایران مشغول خدمات رسانی به مشتریان شرکت امترون میباشند.
