در بخش اول بررسی کامل و تخصصی هارمونیک با مفاهیم اولیه هارمونیک و نحوه محاسبه آن آشنا شدیم. در این مقاله به بررسی تعاریف دیگر هارمونیک و اثرات آن بر تجهیزات و شبکه برق میپردازیم.
ارزیابی اعوجاج هارمونیک
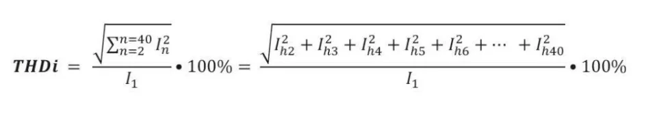
اعوجاج هارمونیک کل جریان یا THDi یکی از مرسوم ترین متغیرها برای بررسی وضعیت شبکه است. با فرض محاسبه هارمونیک تا مرتبه 40، رابطه هارمونیک جریان به صورت زیر است:

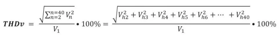
این رابطه برای بسیاری از استانداردها استفاده میشود و رابطه جریانهای هارمونیک با جریان مولفه اصلی را نشان میدهد. اعوجاج ولتاژ با THDv نمایش داده میشود و روابط آن مشابه روابط THDi هست با این تفاوت که در THDv از نسبت ولتاژهای هارمونیک با ولتاژ مولفه اصلی استفاده میشود. رابطه THDv نیز به صورت زیر است:

با اینکه روابط فوق دید خوبی نسبت به مشکلات هارمونیکی به ما میدهد اما با توجه به وابستگی تجهیزات به فرکانس و مدار معادل آنها نمیتوان تنها با رابطه THDv و THDi در مورد مشکلات اعوجاج هارمونیک اظهار نظر کرد.

همانطور که از روابط بالا مشخص است مقدار امپدانس به صورت مستقیم با فرکانس ارتباط دارد و با افزایش آن، افزایش خواهد یافت. بنابراین تجهیزاتی مانند ترانسفورماتور که دارای اندوکتانس نشتی به صورت سری در مدل مداری خود هستند، دارای امپدانس بالا در هارمونیکهای فرکانس بالا خواهند شد که این موضوع میتواند باعث خرابی در تجهیز شود. به عنوان مثال در ترانسفورماتور وجود هارمونیکهای مرتبه بالا میتواند باعث اضافه بار روی ترانسفورماتور شود حتی اگر توان اعمالی به ترانس کمتر از توان نامی آن باشد.
همچنین باید توجه داشت که THD به تنهایی توصیف خوبی از وضعیت سیستم به ما ارائه نمیدهد زیرا در همان مثال ترانسفورماتور اگر دامنه هارمونیک پنجم و 37ام هر دو 100 آمپر باشد به علت فرکانس بالا بودن هارمونیک 37 ام، امپدانس معادل ترانسفورماتور از دید هارمونیک 37 ام بیشتر است که با توجه به روابط توان اتلافی بیشتری خواهیم داشت.
بنابراین استانداردها علاوه بر بررسی THD معیاری برای بررسی هارمونیکهای مرتبه بالاتر ارائه دادهاند. به طور معمول دامنه هارمونیکها در مرتبههای بالاتر کاهش مییابد اما باید به مشکلاتی که این هارمونیکها تولید میکنند نیز توجه داشت. یک ارزیابی معمول برای بررسی هارمونیکهای مرتبه بالا، PWHD یا اعوجاج هارمونیک با وزن جزئی است که با توجه کاربرد ما از هارمونیک مرتبه 14 تا 40 بررسی میشود. در ادامه رابطه محاسبه PWHD برای جریان ارائه شده است. با تغییر مقادیر جریان به ولتاژ میتوان اعوجاج هارمونیک با وزن جزئی برای ولتاژ را نیز حساب کرد.

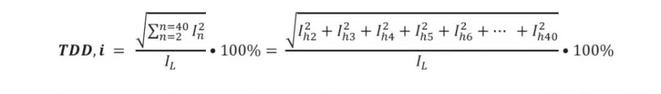
در برخی استانداردها کمی تفاوت در رابطه بالا خواهیم داشت که البته تمامی آنها به طور کلی بیانگر یک موضوع هستند. به عنوان مثال استاندارد IEEE 519-2014 رابطه بالا را به صورت زیر بیان میکند:

در نگاه اول این دو معادله یکسان هستند اما تفاوتهایی جزئی نیز دارند. در معادله دوم مخرج کسر به جریان IL تغییر یافته است. البته هر دو آنها معرف مولفه اصلی که 50 یا 60 هرتز است میباشند. جریان I1، مولفه اصلی برای هر نقطه جداگانه است اما IL معرف مجموع ماکزیمم جریان در یکسال گذشته تقسیم بر 12 در نقطهی مشترک یا همان PCC است.
به دلیل اضافه بارهای موجود در سیستم معمولا مقدار TDD از THD در بار نامی کمتر است اما در مقادیر بار جزئی این مقدار بسیار کمتر خواهد شد. به طور کلی TDD اطلاعات بهتری در مورد تاثیر اعوجاج هارمونیکی بر منبع تغذیه میدهد. برای فهم بهتر این موضوع نمودار زیر را مشاهده کنید. این نمودار دارای فیلتر پسیو Revcon در ورودی است و TDD و THD جریان در بارهای مختلف بررسی و محاسبه شدهاند.

با مقایسه دو نمودار به نتایج جالبی میرسیم. ممکن است در این مثال تصور کنید بدترین وضعیت در 18 درصد بار اتفاق خواهد افتاد در حالی که بدترین اعوجاج در 120 درصد بار است بنابراین منحنی TDD اطلاعات دقیق و تخصصیتر در سیستمهای خاص به ما خواهد داد.
در اکثر مواقع استخراج و محاسبه IL برای ما دشوار است بنابراین احتمالا اسم TDD در بررسیهای هارمونیکی کمتر به گوش مهندسین آشنا باشد. تجهیزات اندازهگیری مانند پاورآنلایزرها معمولا مقادیر THD جریان و ولتاژ را برای ما محاسبه میکنند. البته در برخی موارد مقادیر PWHD نیز توسط این دستگاهها محاسبه میشود. با تخمین و استخراج IL میتوان به کمک THD جریان و جریان مولفه اصلی، مقدار TDD را از رابطه زیر حساب کرد:

با این حال به علت محاسبات سخت و پیچیده به همان اطلاعات پاورآنلایزرها بسنده میکنیم و وارد بحث محاسبات TDD نخواهیم شد.
مشکلات هارمونیک
معمولا اعوجاج هارمونیک برای درایو مشکلی ایجاد نخواهد کرد اما باعث اعوجاج در منبع تغذیه سینوسی اصلی میشود که این اعوجاج بر سایر تجهیزات تاثیر منفی خواهد گذاشت. به عنوان مثال اعوجاج ولتاژ در منبع تغذیه باعث گرم شدن بیش از حد ترانسفورماتورها،PFCها یا همان بانک خازنی میشود. یکی از مهمترین اثرات اعوجاج هارمونیک که کمتر به آن توجه میشود کاهش طول عمر تجهیزات الکتریکی و مکانیکی است.
در ادامه به متداولترین مشکلات ناشی از اعوجاجهای هارمونیک اشاره شده است.
ترانسفورماتورها و بانک خازنی

افزایش اعوجاج هارمونیک باعث افزایش تلفات در اندوکتانسها میشود. از روابط زیر میتوان این مساله را بهتر درک کرد.

افزایش فرکانس باعث افزایش امپدانس معادل میشود بنابراین توان انتقالی کاهش یافته و طول عمر تجهیز و راندمان آن کاهش خواهد یافت. در برخی موارد ترانسفورماتورها و بانک خازنی به صورت بزرگتر از مقدار مورد نیاز خریداری و بهرهبرداری میشوند در غیر این صورت در بار نامی اضافه دمای خطرناک خواهیم داشت.
تجهیزات الکترونیکی

افزایش اعوجاج هارمونیک باعث افزایش تلفات و کاهش امید به طول عمر میگردد. همچنین خطا در این تجهیزات باعث از دست رفتن دادههای اطلاعاتی، از دست دادن خط تولید و هزینه تعمیرات بالا میشود. در برخی موارد نیز نویز روی اطلاعات باعث خرابی دستگاهها میشود.
موتورها و ژنراتورها

به طور تخصصی اعوجاج هارمونیکی ابتدا باعث کاهش گشتاور و تولید گشتاور ناپایدار و ارتعاشی بر روی شفت خواهد شد که این عمر باعث کاهش طول عمر قطعاتی مانند گیربکس و یاتاقان و به طور کلی کاهش طول عمر تجهیز خواهد شد.
راندمان سیستم

راندمان تجهیزات ممکن است تحت تأثیر اعوجاج هارمونیک ولتاژ شبکه قرار گیرد و تلفات بیشتر در هادیها منجر به افزایش هزینه و داغ کردن کابلها میشود.
نتیجهگیری
در بخش دوم این مقاله به معرفی دیگر تعاریف هارمونیک بر اساس استانداردهای مختلف و بررسی اثرات هارمونیک بر شبکه و تجهیزات سیستم پرداختیم. با توجه به افزایش بارهای غیرخطی در صنعت، نیاز به افزایش دانش تخصصی نیروهای یک شرکت و کارخانه بیش از پیش احساس میشود. از این رو شرکت بنیان صنعت تدبیر یکتا نماینده رسمی امترون در ایران و وارد کننده تخصصی فیلترهای هارمونیک Revcon سعی بر این دارد تا با برگزاری جلسات آموزشی و همچنین ارائه مقالات آموزشی، دانش فنی افراد مشغول در صنعت را افزایش دهد. همچنین میتوانید جهت دریافت مشاوره تخصصی در مورد فیلترهای هارمونیک، درایو امترون، سافت استارتر موکوتک و سافت استارتر امترون، درایوهای ریجنریتیو و درایو ولتاژ متوسط (MV)، انواع سنسورها و ابزار دقیق و قطعات مکانیکی شامل گیربکس و … با متخصصین این شرکت ارتباط بگیرید.
